三角函数之和差化积与积化和差公式

[引言]在2019版的高中数学教材修订中,重新增加了“和差化积”和“积化和差”公式。例如,在人教B版的第8.2.4三角函数恒等变换的应用一节中,明确给出了上述公式及其名称。本文拟进行深入探讨。  ...

[引言]在2019版的高中数学教材修订中,重新增加了“和差化积”和“积化和差”公式。例如,在人教B版的第8.2.4三角函数恒等变换的应用一节中,明确给出了上述公式及其名称。本文拟进行深入探讨。

 

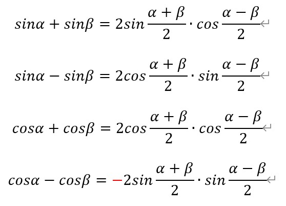
[和差化积公式]下述公式,等式左边是三角函数和或者差的形式,等式右边是乘积的形式,因此被称为“和差化积”公式。

attachments-2023-03-nso5LLQY641a6ae9c8536,png

[和差化积公式助记口诀]

正加正,正在前;

正减正,余在前;

余加余,余并肩;

余减余,负正弦。

 

[积化和差公式]下述公式,等式左边是三角函数乘积的形式,等式右边是和或者差的形式,因此被称为“积化和差”公式。

attachments-2023-03-C4Btqasa641a6b218739c,png

 

[积化和差公式助记口诀]

正余余正,正加正减;

余余正正,余加负余减。

 

[证明一]教材中利用三角函数的加法定理,给出了“积化和差”与“和差化积公式”的证明。

例如,根据两角和与差的余弦公式,有

attachments-2023-03-frvdBH9e641a6b743d35b,png

依此类推,可以得到“和差化积”的其他三个公式。

 

[证明二]在人教A版教材5.5.2简单的三角恒等变换中,拓广探索部分要求用下述图形予以证明。

attachments-2023-03-unSC39N8641a6c520af37,png

图中,点A和点B都在单位圆上,分别对应α和β。点M是点A和点B的中点。即

attachments-2023-03-biF2ejeh641a6c6f24ea1,png

点M的纵坐标对应MC,于是

attachments-2023-03-Eg2GQqKA641a6ce40c356,png

以上是两种最具代表性的证明,限于篇幅,其他证明方法略。

 

下面我们来看一下“和差化积”与“积化和差”的典型例题。

 

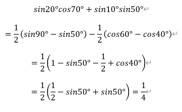
[例1]求值:sin20°cos70°+sin10°sin50°

 

[解析]利用积化和差公式,有

attachments-2023-03-7ty0mwkm641a6d0d429da,png

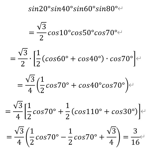
[例2]求值:sin20°sin40°sin60°sin80°

 

[解析]利用积化和差公式,有

attachments-2023-03-0VmD91mH641a6d3694f40,png

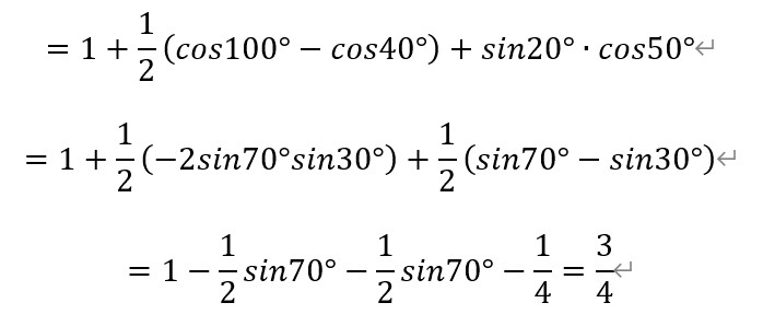
[例3]求值:sin220°+cos250°+sin20°cos50°

 

[解析]首先利用降幂公式,得

attachments-2023-03-kwytD2D6641a6d53a6861,png

再利用“和差化积”以及“积化和差”公式,有

attachments-2023-03-Fp7d74XK641a6d6d4af4a,png

 

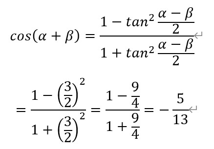
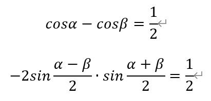
[例4]已知cosα-cosβ=1/2,sinα-sinβ=-1/3,求sin(α+β)和cos(α+β)的值。

 

[解析]利用和差化积公式,将所给式子变形有

attachments-2023-03-PPqI5APm641a6d8e93c3b,png

attachments-2023-03-CojRNk9B641a6dc00c860,png

以及

attachments-2023-03-kY1NxmYd641a6ddaa3362,png

[后记]对于2022年参加高考的考生而言,在高一期间适逢教材改版,属于特殊的历史时期,不少同学课内没有讲授“和差化积”与“积化和差”公式。对于北京地区的考生而言,多数学校在2021年对2019版教材进行若干次修订以后才开始学习上述公式。

 

该部分知识点反映在近几年的高三模考题中,考虑了上述学情以及疫情的影响,主要以填空题的开放性试题的面貌出现,难度较小,甚至可以完全不使用“和差化积”与“积化和差”公式进行求解。但是,以后的考题可能会出现直接考查。

 

最后,需要指出的是,“和差化积”与“积化和差”公式在高等数学中有着广泛的应用,例如推导正弦函数和余弦函数的导数公式等,是进一步学习的基础。如有余力,还是需要了解和掌握的。







  • 发表于 2023-03-22 10:47
  • 阅读 ( 58 )

你可能感兴趣的文章

相关问题

0 条评论

请先 登录 后评论
shitian
shitian

662 篇文章

作家榜 »

  1. shitian 662 文章
  2. 石天 437 文章
  3. 每天惠23 33 文章
  4. 小A 29 文章