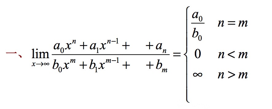
一、极限公式
(系数不为0的情况)
二、重要公式
三、下列常用等价无穷小关系(x->0)
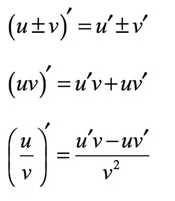
四、导数的四则运算法则
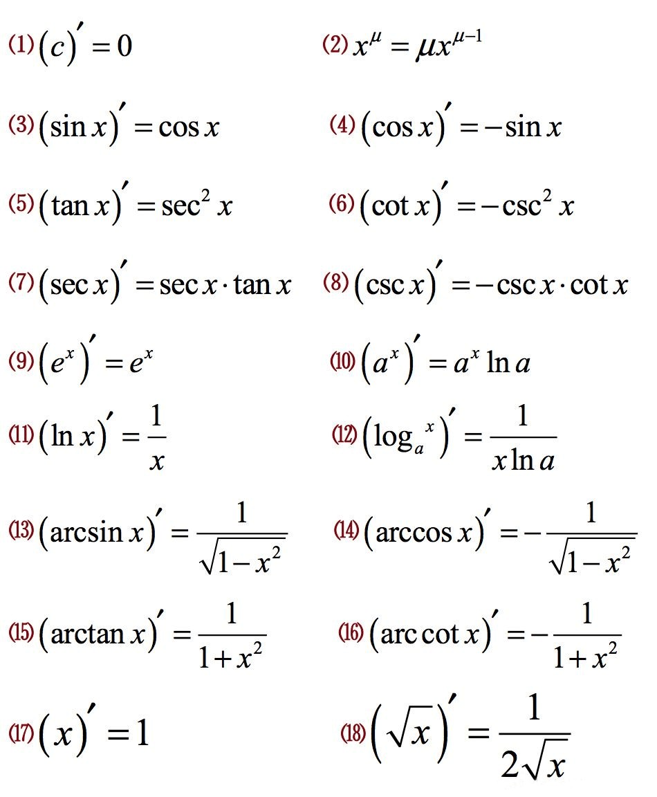
五、基本导数公式
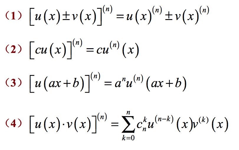
六、高阶导数的运算法则
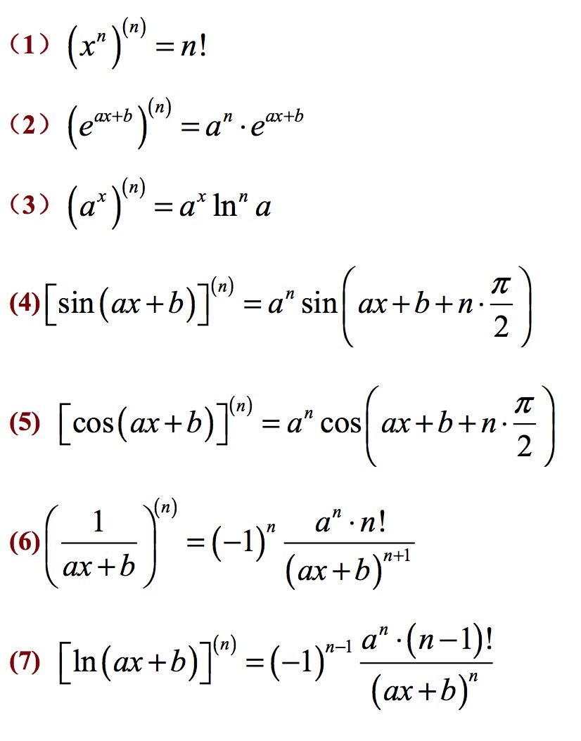
七、基本初...
一、极限公式

(系数不为0的情况)
二、重要公式

三、下列常用等价无穷小关系(x->0)

四、导数的四则运算法则

五、基本导数公式

六、高阶导数的运算法则

七、基本初等函数的n阶导数公式

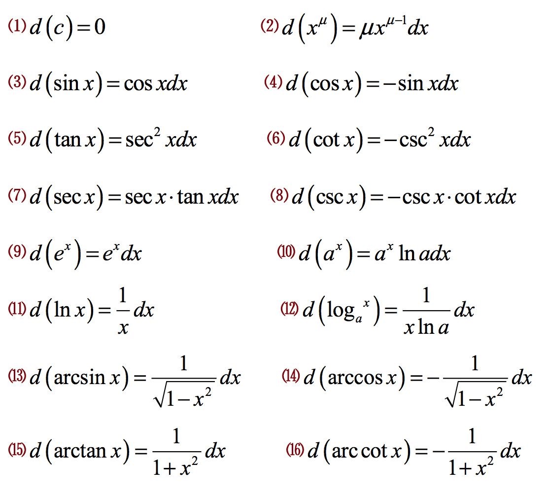
八、微分公式与微分运算法则

九、微分运算法则
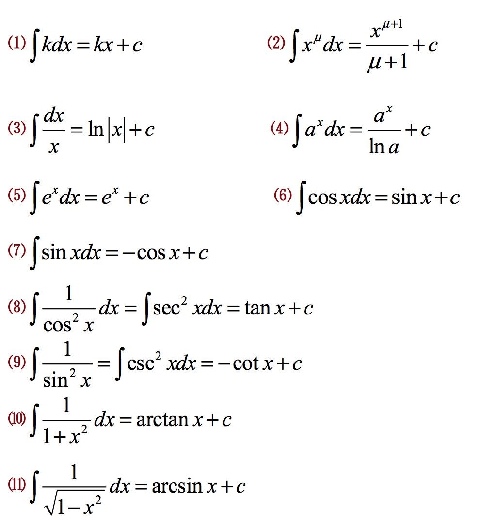
十、基本积分公式
十一、下列常用凑微分公式
十二、补充下面几个积分公式
十三、分部积分法公式

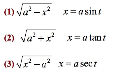
十四、第二换元积分法中的三角换元公式
十五、三角函数公式

十六、几种常见的微分方程
-
发表于 2022-12-14 15:09
- 阅读 ( 32 )