Redis 超详细的手动搭建Cluster集群步骤

功能概述 Redis Cluster是Redis的自带的官方分布式解决方案,提供数据分片、高可用功能,在3.0版本正式推出。 使用Redis Cluster能解决负载均衡的问题,内部采用哈希分片规则: 基础架构图如...

功能概述

Redis Cluster是Redis的自带的官方分布式解决方案,提供数据分片、高可用功能,在3.0版本正式推出。

使用Redis Cluster能解决负载均衡的问题,内部采用哈希分片规则:

基础架构图如下所示:

attachments-2021-06-V4Gh13yx60d9a505ab982,png

图中最大的虚线部分为一个Cluster集群,由6个Redis实例组成。

集群分片

整个Cluster集群中有16384个槽位,必须要将这些槽位分别规划在3台Master中。

如果有任意1个槽位没有被分配,则集群创建不成功。

当集群中任意一个Master尝试进行写入操作后,会通过Hash算法计算出该条数据应该落在哪一个Master节点上。

如下图所示:

attachments-2021-06-6Ki7QU7Y60d9a52c90471,png

情况1:如果你未指定任何参数就进行写入,如在Master1上写入数据,经过内部计算发现该数据应该在Master2上写入时,会提示你应该进入Master2写入该条数据,执行并不会成功

情况2:如果你指定了一个特定参数进行写入,如在Master1上写入数据,经过内部计算发现该数据应该在Master2上写入时,会自动将写入环境重定向至Master2,执行成功

同理,读取数据也是这样,这个过程叫做MOVED重定向,如果你是情况1进行操作则必须手动进行重定向,情况2则会自动进行重定向。

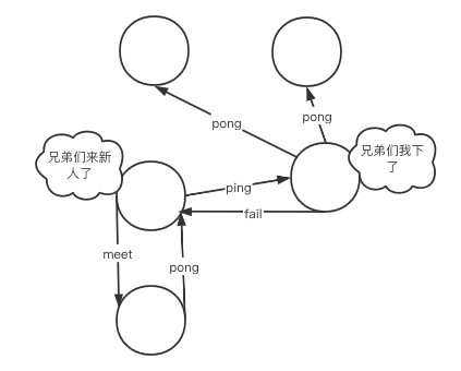
集群通信

集群中各个节点的信息是互通的,这种现象由Gossip(流言)协议产生。

Gossip协议规定每个集群节点之间互相交换信息,使其能够彼此知道对方的状态。

在通信建立时,集群中的每一个节点都会单独的开辟一个TCP通道,用于与其他节点进行通信,这个通信端口会在基础端口上+10000。

通信建立成功后,每个节点在固定周期内通过特定规则选择节点来发送ping消息(心跳机制)。

当收到ping消息的节点则会使用pong消息作为回应,也就是说,当有一个新节点加入后,一瞬间集群中所有的其他节点也能够获取到该信息。

Gossip协议的主要职责就是进行集群中节点的信息交换,常见的Gossip协议消息有以下几点区分:

  • meet:用于通知新节点加入,消息发送者通知接受者加入到当前集群
  • ping:集群内每个节点与其他节点进行心跳检测的命令,用于检测其他节点是否在线,除此之外还能交换其他额外信息
  • pong:用于回复meet以及ping信息,表示已收到,能够正常通行。此外还能进行群发更新节点状态
  • fail:当其他节点收到fail消息后立马把对应节点更新为下线状态,此时集群开始进行故障转移
  • attachments-2021-06-FQ2HET3R60d9a5789a6d0,png
  • 初步搭建

    地址规划

    3台服务器,每台服务器开启2台实例构建基础主从。

    服务器采用centos7.3,Redis版本为6.2.1

    地址规划与结构图如下:

    attachments-2021-06-G5JsrQBU60d9a5915fa59,png


    在每个节点hosts文件中加入以下内容;


    $ vim /etc/hosts

    192.168.0.120 node1

    192.168.0.130 node2

    192.168.0.140 node3


    集群准备

    为所有节点下载Redis:

    $ cd ~

    $ wget https://download.redis.io/releases/redis-6.2.1.tar.gz


  • 为所有节点配置目录:

    $ mkdir -p /usr/local/redis_cluster/redis_63{79,80}/{conf,pid,logs}

  • 所有节点进行解压:
    $ tar -zxvf redis-6.2.1.tar.gz -C /usr/local/redis_cluster/

  • 所有节点进行编译安装Redis:

    $ cd /usr/local/redis_cluster/redis-6.2.1/
    $ make && make install 

    书写集群配置文件,注意!Redis普通服务会有2套配置文件,一套为普通服务配置文件,一套为集群服务配置文件,我们这里是做的集群,所以书写的集群配置文件,共6份:


    $ vim /usr/local/redis_cluster/redis_6379/conf/redis.cnf

    # 快速修改::%s/6379/6380/g

    # 守护进行模式启动
    daemonize yes

    # 设置数据库数量,默认数据库为0
    databases 16

    # 绑定地址,需要修改
    bind 192.168.0.120

    # 绑定端口,需要修改
    port 6379

    # pid文件存储位置,文件名需要修改
    pidfile /usr/local/redis_cluster/redis_6379/pid/redis_6379.pid

    # log文件存储位置,文件名需要修改
    logfile /usr/local/redis_cluster/redis_6379/logs/redis_6379.log

    # RDB快照备份文件名,文件名需要修改
    dbfilename redis_6379.rdb

    # 本地数据库存储目录,需要修改
    dir /usr/local/redis_cluster/redis_6379

    # 集群相关配置
    # 是否以集群模式启动
    cluster-enabled yes

    # 集群节点回应最长时间,超过该时间被认为下线
    cluster-node-timeout 15000

    # 生成的集群节点配置文件名,文件名需要修改
    cluster-config-file nodes_6379.conf

  • 启动集群

    启动集群

    在启动集群时,会按照Redis服务配置文件的配置项判断是否启动集群模式,如图所示:


  • attachments-2021-06-NhejkLja60d9a6f07f95e,png

    每个节点上执行以下2条命令进行服务启动:

    $ redis-server /usr/local/redis_cluster/redis_6379/conf/redis.cnf
    $ redis-server /usr/local/redis_cluster/redis_6380/conf/redis.cnf

  • 集群模式启动,进程后会加上[cluster]的字样:

    $ ps -ef | grep redis
    root      51311      1  0 11:30 ?        00:00:00 redis-server 192.168.0.120:6379 [cluster]
    root      51329      1  0 11:30 ?        00:00:00 redis-server 192.168.0.120:6380 [cluster]
    root      51396 115516  0 11:31 pts/1    00:00:00 grep --color=auto redis

    同时,查看一下集群节点配置文件,会发现生成了一组集群信息,每个Redis服务都是不同的:

    $ cat /usr/local/redis_cluster/redis_6379/nodes_6379.conf
    c8a8c7d52e6e7403e799c75302b6411e2027621b :0@0 myself,master - 0 0 0 connected
    vars currentEpoch 0 lastVoteEpoch 0

    $ cat /usr/local/redis_cluster/redis_6380/nodes_6380.conf
    baa10306639fcaca833db0d521235bc9593dbeca :0@0 myself,master - 0 0 0 connected
    vars currentEpoch 0 lastVoteEpoch 0

    # 第一段信息是这个Redis服务作为集群节点的一个身份编码
    # 别名为集群的node-id

  • 加入集群

    现在虽然说每个服务都成功启动了,但是彼此之间并没有任何联系。

    所以下一步要做的就是将6个服务加入至一个集群中,如下操作示例:


    $ redis-cli -h node1 -p 6379


    node1:6379> cluster meet 192.168.0.130 6379

    node1:6379> cluster meet 192.168.0.140 6379

    node1:6379> cluster meet 192.168.0.120 6380

    node1:6379> cluster meet 192.168.0.130 6380

    node1:6379> cluster meet 192.168.0.140 6380


    查看当前集群所有的节点:

    node1:6379> cluster nodes


    214dc5a10149091047df1c61fd3415d91d6204ea 192.168.0.130:6379@16379 master - 0 1617291123000 1 connected

    baa10306639fcaca833db0d521235bc9593dbeca 192.168.0.120:6380@16380 master - 0 1617291120000 3 connected

    7a151f97ee9b020a3c954bbf78cd7ed8a674aa70 192.168.0.140:6379@16379 master - 0 1617291123000 2 connected

    bae708f7b8df32edf4571c72bbf87715eb45c169 192.168.0.130:6380@16380 master - 0 1617291124175 4 connected

    fd1dde2a641727e52b4e82cfb351fe3c17690a17 192.168.0.140:6380@16380 master - 0 1617291124000 0 connected

    c8a8c7d52e6e7403e799c75302b6411e2027621b 192.168.0.120:6379@16379 myself,master - 0 1617291121000 5 connected


  • 查看端口监听,可以发现Gossip监听的1000+端口出现了,此时代表集群各个节点之间已经能互相通信了:

  • $ netstat -lnpt | grep redis
    tcp        0      0 192.168.0.120:6379      0.0.0.0:*               LISTEN      51311/redis-server
    tcp        0      0 192.168.0.120:6380      0.0.0.0:*               LISTEN      51329/redis-server
    tcp        0      0 192.168.0.120:16379     0.0.0.0:*               LISTEN      51311/redis-server
    tcp        0      0 192.168.0.120:16380     0.0.0.0:*               LISTEN      51329/redis-server

  • 主从配置

    6个服务之间并没有任何主从关系,所以现在进行主从配置,记录下上面cluster nodes命令输出的node-id信息,只记录主节点:

    attachments-2021-06-N8aDKiVl60d9a8089294a,jpg


    首先是node1的6380,将它映射到node2的6379:

    $ redis-cli -h node1 -p 6380

    node1:6380> cluster replicate 214dc5a10149091047df1c61fd3415d91d6204ea


    然后是node2的6380,将它映射到node3的6379

    $ redis-cli -h node2 -p 6380

    node2:6380> cluster replicate 7a151f97ee9b020a3c954bbf78cd7ed8a674aa70

    最后是node3的6380,将它映射到node1的6379:

    $ redis-cli -h node3 -p 6380

    node3:6380> cluster replicate c8a8c7d52e6e7403e799c75302b6411e2027621b


  • 查看集群节点信息,内容有精简:

    $ redis-cli -h node1 -p 6379

    node1:6379> cluster nodes
    192.168.0.130:6379@16379 master 
    192.168.0.120:6380@16380 slave 
    192.168.0.140:6379@16379 master 
    192.168.0.130:6380@16380 slave
    192.168.0.140:6380@16380 slave
    192.168.0.120:6379@16379 myself,master 

    # myself表示当前登录的是那个服务

  • 分配槽位

    接下来我们要开始分配槽位了,为了考虑今后的写入操作能分配均匀,槽位也要进行均匀分配。

    仅在Master上进行分配,从库不进行分配,仅做主库的备份和读库使用。

    使用python计算每个master节点分多少槽位:


    $ python3


    >>> divmod(16384,3)

    (5461, 1)


  • 槽位分配情况如下,槽位号从0开始,到16383结束,共16384个槽位:

    attachments-2021-06-s0oXytdD60d9a8e4e1c12,jpg
    开始分配:

    $ redis-cli -h node1 -p 6379 cluster addslots {0..5461}
    $ redis-cli -h node2 -p 6379 cluster addslots {5462..10922}
    $ redis-cli -h node3 -p 6379 cluster addslots {10923..16383}

  • 检查槽位是否分配正确,这里进行内容截取:
    $ redis-cli -h node1 -p 6379

    node1:6379> CLUSTER nodes
    192.168.0.130:6379@16379 master - 0 1617292240544 1 connected 5462-10922
    192.168.0.140:6379@16379 master - 0 1617292239000 2 connected 10923-16383
    192.168.0.120:6379@16379 myself,master - 0 1617292238000 5 connected 0-5461

    # 看master节点的最后

  • 检查状态

    使用以下命令检查集群状态是否ok,如果槽位全部分配完毕应该是ok,不然的话就检查你分配槽位时是否输错了数量:

    $ redis-cli -h node1 -p 6379


    node1:6379> CLUSTER info

    cluster_state:ok

    cluster_slots_assigned:16384

    cluster_slots_ok:16384

    cluster_slots_pfail:0

    cluster_slots_fail:0

    cluster_known_nodes:6

    cluster_size:3

    cluster_current_epoch:5

    cluster_my_epoch:5

    cluster_stats_messages_ping_sent:2825

    cluster_stats_messages_pong_sent:2793

    cluster_stats_messages_meet_sent:5

    cluster_stats_messages_sent:5623

    cluster_stats_messages_ping_received:2793

    cluster_stats_messages_pong_received:2830

    cluster_stats_messages_received:5623

  • MOVED重定向

    现在我们在node1的master节点上进行写入:

    $ redis-cli -h node1 -p 6379


    node1:6379> set k1 "v1"

    (error) MOVED 12706 192.168.0.140:6379


  • 它会提示你去node2的master上进行写入。

    这个就是MOVED重定向。

    -c参数

    如何解决这个问题?其实在登录的时候加上参数-c即可,-c参数无所谓你的Redis是否是集群模式,建议任何登录操作都加上,这样即使是Redis集群也会自动进行MOVED重定向:

    $ redis-cli -c -h node1 -p 6379


    node1:6379> set k1 "v1"

    -> Redirected to slot [12706] located at 192.168.0.140:6379

    OK

  • 一并对主从进行验证,这条数据是写入至了node3的Master中,我们登录node2的Slave中进行查看:

    $ redis-cli -h node2 -p 6380 -c

    node2:6380> keys *
    1) "k1"

    故障转移

    故障模拟

    模拟node1的6379下线宕机,此时应该由node3的6380接管它的工作:

    $ redis-cli -h node1 -p 6379 shutdown

    登录集群任意节点查看目前的集群节点信息:

    node2:6379> cluster nodes


    214dc5a10149091047df1c61fd3415d91d6204ea 192.168.0.130:6379@16379 myself,master - 0 1617294532000 1 connected 5462-10922

    bae708f7b8df32edf4571c72bbf87715eb45c169 192.168.0.130:6380@16380 slave 7a151f97ee9b020a3c954bbf78cd7ed8a674aa70 0 1617294533000 2 connected


    # 已下线

    c8a8c7d52e6e7403e799c75302b6411e2027621b 192.168.0.120:6379@16379 master,fail - 1617294479247 1617294475173 5 disconnected


    7a151f97ee9b020a3c954bbf78cd7ed8a674aa70 192.168.0.140:6379@16379 master - 0 1617294536864 2 connected 10923-16383


    # 自动升级为主库,并且插槽也转移了

    fd1dde2a641727e52b4e82cfb351fe3c17690a17 192.168.0.140:6380@16380 master - 0 1617294536000 6 connected 0-5461


    baa10306639fcaca833db0d521235bc9593dbeca 192.168.0.120:6380@16380 slave 214dc5a10149091047df1c61fd3415d91d6204ea 0 1617294535853 1 connected


  • 恢复工作

    重启node1的6379:

    $ redis-server /usr/local/redis_cluster/redis_6379/conf/redis.cnf

    登录node1的6379,发现他已经自动的进行上线了,并且作为node3中6380的从库:

    $ redis-cli -h node1 -p 6379


    node1:6379> cluster nodes

    # 自动上线

    c8a8c7d52e6e7403e799c75302b6411e2027621b 192.168.0.120:6379@16379 myself,slave fd1dde2a641727e52b4e82cfb351fe3c17690a17 0 1617294746000 6 connected

    cluster命令

    以下是集群中常用的可执行命令,命令执行格式为:



  • cluster 下表命令

  • 命令如下,未全,如果想了解更多请执行cluster help操作:


  • attachments-2021-06-EUmdpVNw60d9aa4e2615d,jpg


  • 发表于 2021-06-28 18:32
  • 阅读 ( 123 )

你可能感兴趣的文章

相关问题

0 条评论

请先 登录 后评论
石天
石天

437 篇文章

作家榜 »

  1. shitian 662 文章
  2. 石天 437 文章
  3. 每天惠23 33 文章
  4. 小A 29 文章